纤维长度的测定与计算
城南二哥2022-12-13 11:45:12安全防护用阻燃布618来源:阻燃布料_阻燃面料网
1.手扯长度与长度级 所谓手扯长度,是指用手扯尺量的方法所测的原棉中根数多的纤维长度,简称长度。就是从被检验的棉花中,取出少量的棉样,经过手扯整理,使棉纤维伸直平行、排列有序.找出具有代表性的众数长度即为手扯长度。手扯长度以1mm为级距,分成25mm、26mm、27mm、28mm、29mm、30mm、31mm七级,28mm为长度标准级,分级范围见表1—1。五级棉花长度大于27mm,按27mm计;六级、七级棉花长度均按25mm计。

棉花长度检验用手扯尺量法,对批样逐样检验长度,每份样品检验一个试样。手扯法有一头齐法和两头齐法两种,影响手扯长度正确性的主要因素是手扯方法,包括所取棉束的数量、拉扯过程中的丢长弃短和整理成的棉束数量。检验时,取有代表性的棉样10g左右,双手平分,抽取纤维,反复整理成没有丝团、杂物和游离纤维、一头齐的平直棉束约60mg,棉束宽度约20mm;置于黑绒板上用纤维专用尺在棉柬两端切线.切线位置以不愿黑绒扳为准,量取两切线距离(两头齐方法,直接量取纤维长度,以不露黑绒板为准),量取结果保留一位小数(以毫米为单位),这样记录检验结果。计算批样中各试样长度的算术平均值及各长度级的百分比,保留一位小数。长度平均值对应的长度级定为该批棉花的长度级。
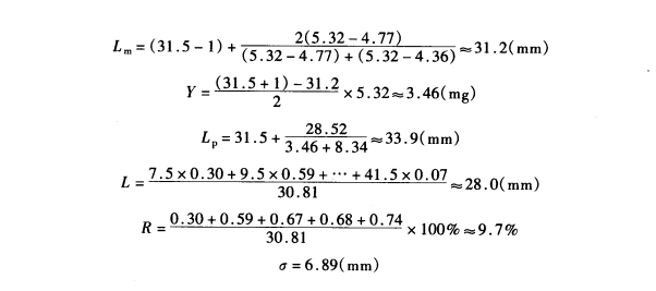
2.主体长度 也称众数长度,是指纤维长度分布中,占重量或根数多的一组长度由于该方法是以重量加权的,所以主体长度必然落在重量大的一组中,但一组的组距是2mm,主体长度究竞在组中哪一点,还需要根据重量大的一组和其相邻两组的重量关系求得。主体长度的计算公式为:







